[통계] - 피어슨 상관 계수

2021. 12. 30. 15:43·.etc/Statistics

 

 

 

 

 

 

공분산 & 상관 계수 (feat. 산점도)

산점도(Scatter plot) 공분산과 상관계수를 알기 위해서는 산점도란 무엇인지 우선 알아야 합니다. 산점도(Scatter) 연속형 변수 두 개 간의 관계를 보기 위해서 평면에 점을 찍어 만든 통계 그래프입

cktrace.tistory.com

 

공분산과 상관 계수의 포스팅을 이어서 작성하는 것이기에 위 글을 먼저 보고 이 포스팅을 보는 것을 추천드립니다!

 

 

 

 

 

피어슨 상관 계수 (Pearson Correlation Coefficient)


 

 

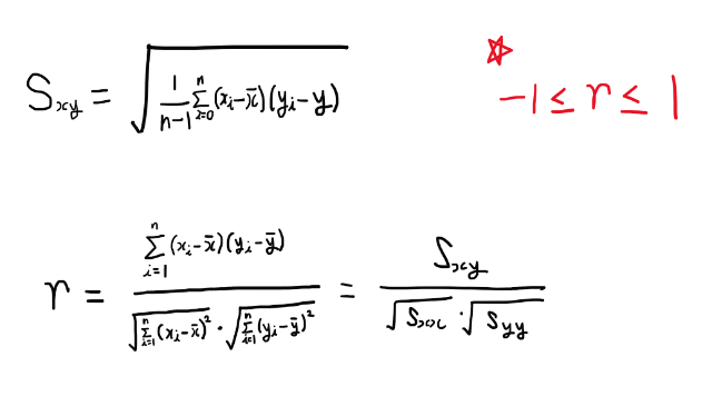
피어슨 상관 계수(Pearson Correlation Coefficient)는 공분산을 표준화 한 값이고, 값의 범위는 -1부터 1 사이입니다.

 

피어슨 상관 계수의 일반식과 간편식에 대해 알아보도록 하겠습니다.

 

 

피어슨 상관 계수 일반식

 

 

피어슨 상관 계수 간편식

 

 

 

 

 

피어슨 상관 계수 성질


 

r의 값의 범위는 (-1 <= r <= 1)이고,  양 끝 값인 1과 -1일 때의 완벽한 정상관과 완벽한 역상관의 형태는 어떠한지 그래프를 통해 알아보도록 하겠습니다.

 

 

 

완벽한 정상관 -&gt; r = 1

 

완벽한 역상관 -&gt; r = -1

 

그 외의 여러 가지 성질들을 나열해보도록 하겠습니다.

 

  1. 기울기를 갖는 직선에 값들이 모일수록 | r | 값은 1에 근사합니다.
  2. 위 두 그래프처럼 모든 값들이 직선에 위치하게 되면 | r | 값은 1입니다.
  3. r 값이 양수이면 양의 상관관계가 존재하는 것입니다.
  4. r 값이 음수이면 음의 상관 관계가 존재하는 것입니다.
  5. | r | 값이 0에 근사하면 상관 관계가 존재하지 않는다고 합니다. (But, 직선 관계가 존재하지 않는 것일 뿐입니다.)

 

나열된 성질 5번의 이해를 돕기 위해 추가 설명을 해보도록 하겠습니다.

 

이 그래프는 제가 이전 작성글인 「공분산 & 상관계수」에서 설명드린 그래프입니다.

 

이 그래프에서 알 수 있다시피 r 값이 0에 근사하므로 직선 관계가 존재하지 않습니다.

 

허나 곡선 관계는 존재합니다.

 

즉, | r | 값이 0에 근사하면 상관관계가 존재하지 않는다고 하지만 직선 관계가 존재하지 않는 것일 뿐입니다.

 

 

 

 

 

피어슨 상관 계수를 사용 시 주의할 점


 

피어슨 상관 계수를 사용할 때 주의해야 할 점이 있습니다.

 

그것은 바로 상관 계수의 값이 같아도 두 변수 간의 관계가 실제로 다를 수도 있습니다.

 

총 4 개의 예시를 통해 알아가 보도록 합시다!

 

선형 관계

 

비선형 관계 - 1

 

비선형 관계 - 2

 

 

비선형 관계 - 3

 

이렇게 상관 계수 값이 같아도 두 변수 간의 관계가 실제로 다를 수 있습니다.

 

그래서 이러한 문제점 때문에 상관 계수를 사용하기 전 사전에 확인해야 할 부분이 존재합니다.

 

첫 번째는 이상치가 존재 유무를 확인하고 존재한다면 상관 계수 값이 유용하지 않을 확률 높다는 것입니다.

 

두 번째는 두 변수 간의 관계가 비선형인 경우 상관관계의 값은 유용하지 않다는 것입니다.

 

 

 

 

 

이렇게 해서 피어슨 상관 계수에 관한 글을 마무리 짓도록 하겠습니다.

 

이 글을 보신 분들에게 도움이 되었으면 정말 뿌듯할 것 같습니다.

 

긴 글 읽어주셔서 감사합니다!

 

다음에도 유익한 글 작성할 수 있도록 계속해서 노력해 나가겠습니다!

 

 

 

 

 

'.etc > Statistics' 카테고리의 다른 글

[통계] - 확률의 정리  (0) 2021.12.31
[통계] - 정규 분포와 표준 정규 분포  (0) 2021.12.31
[통계] - 공분산 & 상관 계수 (feat. 산점도)  (0) 2021.12.30
[통계] - 포아송 분포 (feat. 이항 분포)  (0) 2021.12.28
[통계] - 몬티홀 문제 (Key : 조건부 확률)  (0) 2021.12.25
'.etc/Statistics' 카테고리의 다른 글
  • [통계] - 확률의 정리
  • [통계] - 정규 분포와 표준 정규 분포
  • [통계] - 공분산 & 상관 계수 (feat. 산점도)
  • [통계] - 포아송 분포 (feat. 이항 분포)
CKtrace
CKtrace
개인 공부 내용 기록을 위한 블로그입니다.
  • CKtrace
    CKtrace's Devlog
    CKtrace
  • 전체
    오늘
    어제
    • My Traces (74)
      • AI Research Paper Review (26)
        • Basic & Milestones of DL (3)
        • Vision (3)
        • Pre-Transformer (7)
        • Post-Transformer (13)
      • Tech Experiments & Study (7)
        • Advanced (2)
        • Basic (5)
      • .etc (41)
        • Python (6)
        • Statistics (19)
        • DB (16)
        • AI (5)
  • My Links

    • GitHub
  • Categories

    Vision
    인공지능
    llm
    tag
    Vector search
    langgraph
    NLP
    Database
    머신러닝
    딥러닝
    BM25
    기초 통계학
    langchain
    CAG
  • hELLO· Designed By정상우.v4.10.4
CKtrace
[통계] - 피어슨 상관 계수
상단으로

티스토리툴바