[통계] - 분포의 형태 (왜도 & 첨도)

2021. 12. 24. 06:53·.etc/Statistics

 

 

 

분포의 형태


수치형 자료에 대한 통계 분석 방법

→ 대부분 모집단의 중심 위치를 기준으로 좌우 대칭 형태를 가진다고 가정!

 

 

통계 분석의 적절성

→ 분석 방법에서의 가정한 조건을 얼마나 자료가 만족을 하는지에 영향을 받습니다.

 

 

분포 형태에 대한 측도

→ 자료가 모집단의 가정을 얼마나 만족하는지 확인이 필요합니다 -> 왜도와 첨도를 통해 확인!

 

 

 

 

 

왜도 (Skewness)


 

 

자료의 중심 위치를 기준으로 좌우 중 한 쪽으로 쏠렸는지 확인할 수 있게 해주는 척도입니다.

 

→ 이상치(중심에서 많이 떨어져 있는 값)가 있는지 점검할 수 있습니다. 즉, 정규 분포인지 아닌지 확인할 수 있게 해주는 것이죠.

 

→ Histogram(히스토그램) 또는 Box plot(상자 그림)을 통해서 왜도를 확인할 수 있습니다.

 

→ '꼬리가 길다.'라는 것은 이상치를 가지는 자료가 있다는 것입니다.

  

 

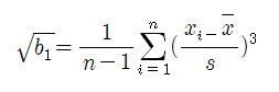
왜도 (Skewness)

 

 

 

 

 

왜도 공식


 

왜도 공식 (s = 표준 편차)

 

 

->  이 식을 통해 나온 평균을 중심으로 왼쪽이 음수, 오른쪽이 양수입니다.

 

 

자료 평균에서 멀어지면 멀어질수록 큰 양수 혹은 큰 음수가 됩니다.

-> 이때 중심으로부터 많이 떨어진 값이 이상치인 것입니다.

 

 

 평균 값을 중심으로 왼쪽과 오른쪽의 형태가 비슷하면 비슷할수록 음수와 양수가 상쇄되어 이 값이 0에 근사하거나 0이 됩니다. 즉, 대칭성을 띄는 것이죠!

 

 

 

 

 

왜도 내용 마무리


 

 

 

 

 

 

 

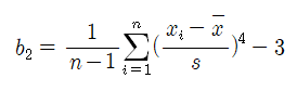
첨도 (Kurtosis)


 

얼마나 자료가 뾰족한지 확인하게 해주는 척도입니다! 왜도와 마찬가지로 첨도도 이상치의 유무를 점검하는데 쓰입니다.

 

 

왼쪽부터 정점이 낮고 완만한 자료, 표준 정규 분포인 자료, 정점이 높고 뾰족한 자료

 

위 그림의 왼쪽에 위치한 자료처럼 정점이 낮고 완만한 자료는 중심 위치가 변할 가능성이 높습니다!

 

 

 

 

 

첨도 공식


 

첨도 공식 (s = 표준 편차)

 

-> 이 식을 통해 나온 평균을 중심으로 자료가 멀리 있으면 큰 값입니다.

 

 

첨도는 항상 양수가 되고, 정점의 높이에 따라 꼬리 부분이 얼마나 두터운지에 영향을 많이 받습니다!

(중심보다는 정점의 높이에 따라!)

 

첨도 공식에서 3을 빼주는 이유는 정규 분포일 때의 첨도가 3이기 때문입니다!

 

  

 

 

 

첨도 내용 마무리


 

 

 

 

 

 

 

이렇게 해서 왜도와 첨도에 대해 알아보았고 긴 글을 읽어주셔서 감사하다는 말씀드리며 글을 마치도록 하겠습니다.

감사합니다!

 

 

 

'.etc > Statistics' 카테고리의 다른 글

[통계] - 포아송 분포 (feat. 이항 분포)  (0) 2021.12.28
[통계] - 몬티홀 문제 (Key : 조건부 확률)  (0) 2021.12.25
[통계] - 편의 (feat. 모집단 & 표본)  (0) 2021.12.23
[통계] - 이항 분포 vs 초기하 분포 (feat. 야코프 베르누이)  (0) 2021.12.14
[통계] - 베이즈정리 (feat.조건부 확률, 독립 사건)  (0) 2021.12.11
'.etc/Statistics' 카테고리의 다른 글
  • [통계] - 포아송 분포 (feat. 이항 분포)
  • [통계] - 몬티홀 문제 (Key : 조건부 확률)
  • [통계] - 편의 (feat. 모집단 & 표본)
  • [통계] - 이항 분포 vs 초기하 분포 (feat. 야코프 베르누이)
CKtrace
CKtrace
개인 공부 내용 기록을 위한 블로그입니다.
  • CKtrace
    CKtrace's Devlog
    CKtrace
  • 전체
    오늘
    어제
    • My Traces (74)
      • AI Research Paper Review (26)
        • Basic & Milestones of DL (3)
        • Vision (3)
        • Pre-Transformer (7)
        • Post-Transformer (13)
      • Tech Experiments & Study (7)
        • Advanced (2)
        • Basic (5)
      • .etc (41)
        • Python (6)
        • Statistics (19)
        • DB (16)
        • AI (5)
  • My Links

    • GitHub
  • Categories

    딥러닝
    langchain
    기초 통계학
    BM25
    Vision
    Vector search
    NLP
    llm
    langgraph
    머신러닝
    CAG
    Database
    tag
    인공지능
  • hELLO· Designed By정상우.v4.10.4
CKtrace
[통계] - 분포의 형태 (왜도 & 첨도)
상단으로

티스토리툴바