[통계] - 몬티홀 문제 (Key : 조건부 확률)

2021. 12. 25. 00:03·.etc/Statistics

 

 

What is 'Monty Hall Problem'


 

<Let's Make a Deal>이라는 미국 오락 프로그램에서 유래한 조건부 확률에 관련된 확률 문제입니다.

 


Suppose you’re on a game show, and you’re given the choice of three doors. Behind one door is a car, behind the others, goats. You pick a door, say #1, and the host, who knows what’s behind the doors, opens another door, say #3, which has a goat. He says to you, "Do you want to pick door #2?" Is it to your advantage to switch your choice of doors?

 

☞ 게임쇼에 나가서 세 개의 문을 선택했다고 가정해보세요. 한 문 뒤에는 차, 다른 문 뒤에는 염소들이 있습니다. 당신이 1번 문을 고르면, 문 뒤에 뭐가 있는지 아는 호스트는 염소가 있는 3번 문을 엽니다. 그는 당신에게 "2번 문을 고르고 싶으세요?"라고 말합니다. 당신이 선택한 문을 바꾸는 것이 당신에게 유리합니까?

 

이 문제는 아주 유명한 문제로 아마 많은 분들이 이미 들어보거나 실제로 풀이해보신 분들이 계실 겁니다.

 

지금부터 그 유명한 몬티홀 문제를 직접 풀이해보도록 하겠습니다!

 

 

 

 

 

Premise & Rule


 

풀이를 해보기 앞서서 몬티홀 문제의 전제와 룰에 대해 설명하도록 하겠습니다.

 

 

<전제>
  • 사회자는 염소가 뒤에 있는 문을 임의로 선택합니다.
  • 사회자는 어느 문 뒤에 자동차가 존재하는 알고 있습니다.

 

 

<룰>
  • 문 3개 중 하나의 문 뒤에는 자동차가 있고, 나머지 문 뒤에는 염소가 있습니다. 참가자는 3개의 문 중 하나의 문을 골라 문 뒤에 있는 상품을 갖습니다.
  • 참가자가 문을 선택하면 선택하지 않은 문 중 염소가 뒤에 있는 문을 열어 염소를 보여줍니다.
  • 그리고 참가자가 처음으로 선택한 문 대신 다른 문으로 바꿀 수 있는 기회를 줍니다.

 

 

 

 

 

Solution Explanation


 

몬티홀 문제의 풀이 핵심은 조건부 확률입니다.

 

제가 작성한 조건부 확률 관련 포스팅을 참고하시면 이해하시는데 조금 더 도움이 될 것 같습니다!

 

 

베이즈정리 (feat.조건부 확률, 독립 사건)

※ 사건 A와 사건 B가 존재한다고 가정하고 시작하겠습니다! feat. 조건부 확률 (Conditional Probability) 사건 A가 발생할 때 사건 B가 발생할 확률 = P (A | B) -> 이때 이 확률이 조건부 확률입니다. P (A | B.

cktrace.tistory.com

 

 

우선 몬티홀 문제를 풀기 위해 두 가지 경우를 두고 풀도록 하겠습니다.

 

 

 

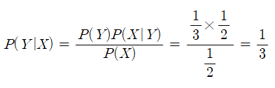
첫 번째, 처음 선택한 문을 바꾸지 않는 경우

 

 

 

사건 X : 선택한 문을 제외한 두 문 중 호스트가 하나의 문을 여는 사건

사건 X가 일어날 확률 : P(X) = 1/2

 

사건 Y : 자동차가 처음으로 선택한 문 뒤에 있는 사건

사건 Y가 일어날 확률 : P(Y) = 1/3

 

 

처음 선택한 문을 바꾸지 않고 자동차를 얻을 확률을 구하는 식

 

 

사건 X, Y가 일어날 확률들과 조건부 확률을 이용해 처음 선택한 문을 바꾸지 않고 자동차를 얻을 확률은 1/3입니다.

 

 

 

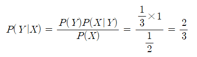
두 번째, 처음 선택한 문과 다른 문을 최종으로 선택하는 경우

 

 

사건 X : 선택한 문을 제외한 두 문 중 호스트가 하나의 문을 여는 사건

사건 X가 일어날 확률 : P(X) = 1/2

 

사건 Y : 자동차가 처음 선택한 문과 호스트가 연 문을 제외한 문 뒤에 있는 사건

사건 Y가 일어날 확률 : P(Y) = 1/3

 

사건 Z : 자동차가 처음 선택한 문과 호스트가 연 문을 제외한 문 뒤에 있을 때 호스트가 문을 여는 사건

사건 Z가 일어날 확률 : P(Z) = P(X | Y) = 1 

 

 

처음과 다른 문을 선택했을 때 자동차를 얻을 확률을 구하는 식

 

 

 

 

 

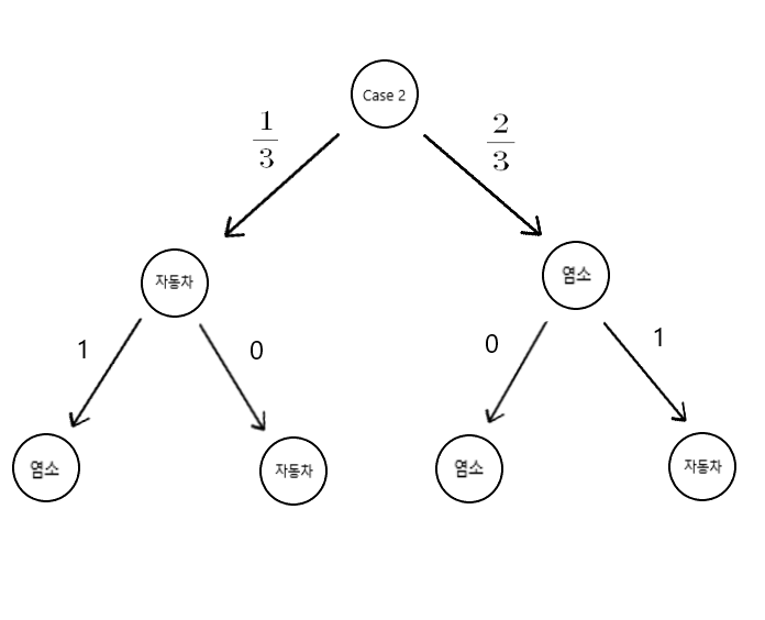
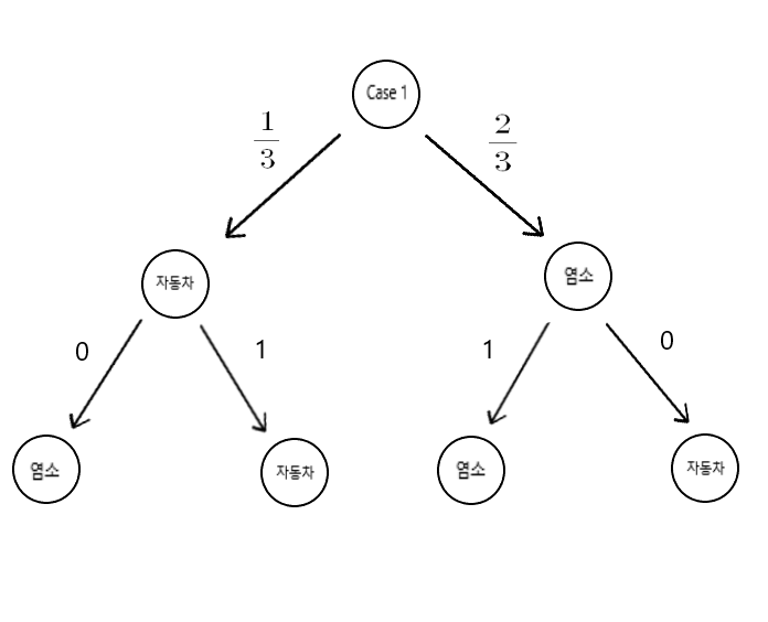
Solution Explanation +


 

트리 형식의 그림을 추가하여 이해를 좀 더 쉽게 도와드리는 것이 좋을 것 같다는 판단이 들었습니다.

 

두 경우를 그림으로 나타낸 것과 각각의 경우에 해당하는 식과 함께 보시면 이해하기 더 쉬울 것입니다.

 

첫 번째 경우

 

 

두 번째 경우

 

 

 

 

 

Conclusion


 

확률 계산에 따르면 몬티홀 문제에서 처음 선택한 문과 다른 문을 최종적으로 선택하면 자동차를 가져갈 확률이 2배 높다는 것을 알 수 있습니다. 

 

 

즉, 확률상 참가자가 처음 선택한 문과 다른 문을 최종으로 선택하면 2배 높은 확률로 자동차를 획득할 수 있는 것이죠.

 

 

 

 

 

이렇게 해서 몬티홀 문제와 풀이에 대해 알아보았고 긴 글을 읽어주셔서 감사하다는 말씀드리며 글을 마치도록 하겠습니다.

감사합니다!

 

 

 

 

 

'.etc > Statistics' 카테고리의 다른 글

[통계] - 공분산 & 상관 계수 (feat. 산점도)  (0) 2021.12.30
[통계] - 포아송 분포 (feat. 이항 분포)  (0) 2021.12.28
[통계] - 분포의 형태 (왜도 & 첨도)  (0) 2021.12.24
[통계] - 편의 (feat. 모집단 & 표본)  (0) 2021.12.23
[통계] - 이항 분포 vs 초기하 분포 (feat. 야코프 베르누이)  (0) 2021.12.14
'.etc/Statistics' 카테고리의 다른 글
  • [통계] - 공분산 & 상관 계수 (feat. 산점도)
  • [통계] - 포아송 분포 (feat. 이항 분포)
  • [통계] - 분포의 형태 (왜도 & 첨도)
  • [통계] - 편의 (feat. 모집단 & 표본)
CKtrace
CKtrace
개인 공부 내용 기록을 위한 블로그입니다.
  • CKtrace
    CKtrace's Devlog
    CKtrace
  • 전체
    오늘
    어제
    • My Traces (74)
      • AI Research Paper Review (26)
        • Basic & Milestones of DL (3)
        • Vision (3)
        • Pre-Transformer (7)
        • Post-Transformer (13)
      • Tech Experiments & Study (7)
        • Advanced (2)
        • Basic (5)
      • .etc (41)
        • Python (6)
        • Statistics (19)
        • DB (16)
        • AI (5)
  • My Links

    • GitHub
  • Categories

    Database
    인공지능
    Vector search
    langchain
    langgraph
    딥러닝
    llm
    NLP
    머신러닝
    tag
    BM25
    Vision
    CAG
    기초 통계학
  • hELLO· Designed By정상우.v4.10.4
CKtrace
[통계] - 몬티홀 문제 (Key : 조건부 확률)
상단으로

티스토리툴바